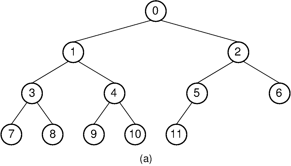
5.Complete Treesยง
\[\begin{split}\begin{array}{|c|c|c|c|c|c|c|c|c|c|c|c|c|}
\hline
\textrm{Position} & 0 & 1 & 2 & 3 & 4 & 5 & 6 & 7 & 8 & 9 & 10 & 11\\
\hline
\hline
\textrm{Parent} & \,--\, & 0 & 0 & 1 & 1 & 2 & 2 & 3 & 3 & 4 & 4 & 5\\
\hline
\textrm{Left Child} & 1 & 3 & 5 & 7 & 9 & 11 & \,--\, & \,--\, & \,--\, &
\,--\, & \,--\, & \,--\,\\
\hline
\textrm{Right Child} & 2 & 4 & 6 & 8 & 10 & \,--\, & \,--\, & \,--\, &
\,--\, & \,--\, & \,--\, & \,--\,\\
\hline
\textrm{Left Sibling} & \,--\, & \,--\, & 1 & \,--\, & 3 & \,--\, & 5 &
\,--\, & 7 & \,--\, & 9 & \,--\,\\
\hline
\textrm{Right Sibling} & \,--\, & 2 & \,--\, & 4 & \,--\, & 6 & \,--\, & 8 &
\,--\, & 10 & \,--\, & \,--\,\\
\hline
\end{array}\end{split}\]

