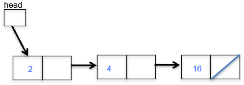
Given the linked chain below:
which is the resulting linked chain after the execution of:
Node newNode = new Node();
newNode.data = 8;
curr = head;
while (curr.next.data < 8) {
curr = curr.next;
}
newNode.next = curr.next;
curr.next = newNode;
A) 
B) 
C)
>
D) 
There are no hints for this question